
咳のお薬
咳(おもに空咳)のお薬


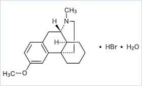
メジコンこのお薬は、咳中枢と呼ばれる脳の咳のコントロール部分を抑えこむことで咳をおさめる作用があります。
どちらかというと、痰の少ない空咳(コホコホ、ケホケホ)に向いています。痰が多いとき(ゲホゲホ、ゴホゴホ)は、別の去痰薬(痰を切るお薬)と併用することがあります。
副作用:眠気、頭痛、めまい(くらくらする)、吐き気、食欲不振、便秘
薬の主成分:デキストロメトルファン臭化水素酸塩水和物

薬の種類;


アストミン
このお薬は、咳中枢と呼ばれる脳の咳のコントロール部分を抑えこむことで咳をおさめる作用があります。
痰が多いときは、別の去痰薬と併用することがあります。
副作用:眠気、めまい、吐き気など
薬の主成分:ジメモルファンリン酸塩

薬の種類:


アスベリン
このお薬は、咳中枢と呼ばれる脳の咳のコントロール部分を抑えこむことで咳をおさめる作用があります。
副作用:食欲不振、口の渇き
薬の主成分:ヒベンズ酸チペピジン

薬の種類:

去痰剤(痰を切るおくすり)のお薬
ムコダイン痰の粘りをとり、出しやすくします。
荒れた鼻のなかや気管支の粘膜の細胞を治して、粘膜の抵抗力を高めます。
副作用:食欲不振、下痢、発疹
薬の主成分:L-カルボシステイン

気管支拡張剤(肺に通じる管を広げて呼吸を楽にするお薬)


テオドール
気管支が腫れると、気道が狭くなり、ゼーゼー・ヒューヒュー呼吸が苦しくなります。
このお薬は炎症をおさえ、気管を広げて呼吸を楽にします。
おもに喘息に用いますが、子供のゼーゼーする咳にも使います。
薬の主成分:テオフィリン

テオロング
気管支が腫れると、気道が狭くなり、ゼーゼー・ヒューヒュー呼吸が苦しくなります。
このお薬は炎症をおさえ、気管を広げて呼吸を楽にします。
おもに喘息に用いますが、子供のゼーゼーする咳にも使います。
副作用:吐き気、腹痛、下痢
薬の主成分:テオフィリン

ユニフィル
気管支が腫れると、気道が狭くなり、ゼーゼー・ヒューヒュー呼吸が苦しくなります。
このお薬は炎症をおさえ、気管を広げて呼吸を楽にします。
おもに喘息に用いますが、子供のゼーゼーする咳にも使います。
長くききやすいです。
副作用:吐き気、嘔吐、腹痛
薬の主成分:テオフィリン

